default
Правительство Саратовской области
Официальный портал
Саратовская область выбирает вектор лидерства
В. В. Радаев
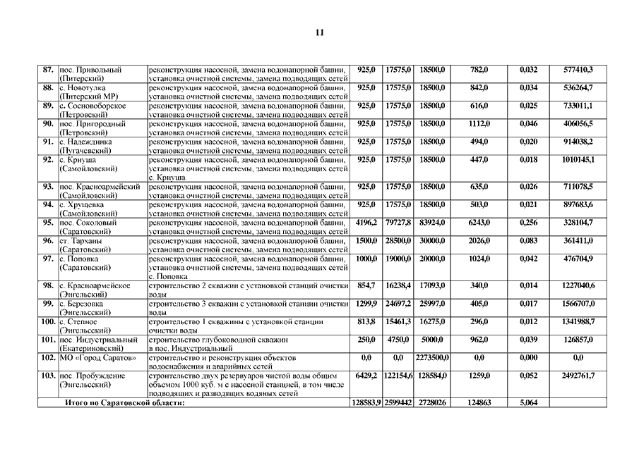
Постановление Правительства Саратовской области от 31.07.2019 N 538-П "О внесении изменений в государственную программу Саратовской области "Обеспечение населения доступным жильем и развитие жилищно-коммунальной инфраструктуры"
Показывать страниц:
1
10
100
Для качественной печати:
PDF-файл документа (4 Мб)
<<
<
7
8
9
10
11
12
13
14
15
16
17
>
>>
Страница
12
из
82
<<
<
7
8
9
10
11
12
13
14
15
16
17
>
>>