default
Правительство Саратовской области
Официальный портал
Саратовская область выбирает вектор лидерства
В. В. Радаев
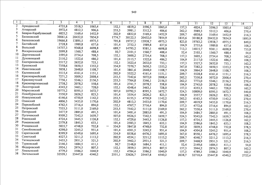
Закон Саратовской области от 01.07.2019 N 64-ЗСО "О внесении изменений в Закон Саратовской области "Об областном бюджете на 2019 год и на плановый период 2020 и 2021 годов" (принят Саратовской областной Думой 26.06.2019)
Показывать страниц:
1
10
100
Для качественной печати:
PDF-файл документа (185 Мб)
<<
<
944
945
946
947
948
949
950
951
952
953
954
>
>>
Страница
949
из
991
<<
<
944
945
946
947
948
949
950
951
952
953
954
>
>>