default
Правительство Саратовской области
Официальный портал
Саратовская область выбирает вектор лидерства
В. В. Радаев
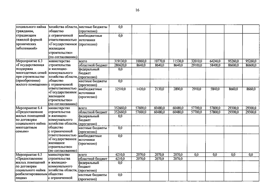
Постановление Правительства Саратовской области от 09.07.2019 N 484-П "О внесении изменений в государственную программу Саратовской области "Обеспечение населения доступным жильем и развитие жилищно-коммунальной инфраструктуры"
Показывать страниц:
1
10
100
Для качественной печати:
PDF-файл документа (1 Мб)
<<
<
12
13
14
15
16
17
18
19
20
21
22
>
>>
Страница
17
из
32
<<
<
12
13
14
15
16
17
18
19
20
21
22
>
>>