default
Правительство Саратовской области
Официальный портал
Саратовская область выбирает вектор лидерства
В. В. Радаев
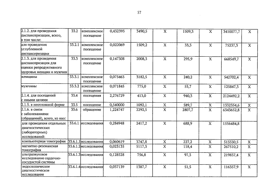
Постановление Правительства Саратовской области от 03.12.2025 N 899-П "О внесении изменений в постановление Правительства Саратовской области от 28 декабря 2024 года N 1127-П"
Показывать страниц:
1
10
100
Для качественной печати:
PDF-файл документа (9 Мб)
<<
<
67
68
69
70
71
72
73
74
75
76
77
>
>>
Страница
72
из
133
<<
<
67
68
69
70
71
72
73
74
75
76
77
>
>>