default
Правительство Саратовской области
Официальный портал
Саратовская область выбирает вектор лидерства
В. В. Радаев
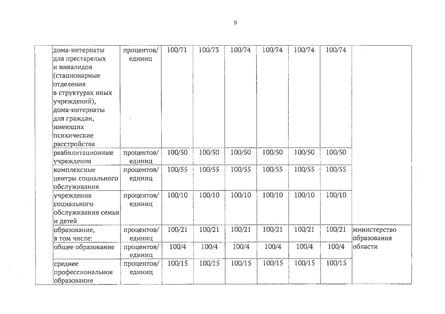
Постановление Правительства Саратовской области от 22.10.2025 N 794-П "О внесении изменения в постановление Правительства Саратовской области от 22 декабря 2015 года N 644-П"
Показывать страниц:
1
10
100
Для качественной печати:
PDF-файл документа (2 Мб)
<<
<
5
6
7
8
9
10
11
12
13
14
15
>
>>
Страница
10
из
34
<<
<
5
6
7
8
9
10
11
12
13
14
15
>
>>