default
Правительство Саратовской области
Официальный портал
Саратовская область выбирает вектор лидерства
В. В. Радаев
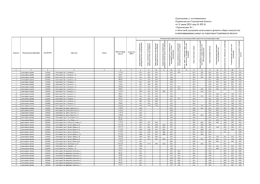
Постановление Правительства Саратовской области от 31.07.2025 N 592-П "О внесении изменений в постановление Правительства Саратовской области от 31 декабря 2013 года N 800-П"
Показывать страниц:
1
10
100
Для качественной печати:
PDF-файл документа (14 Мб)
<<
<
2
3
4
5
6
7
8
9
10
11
12
>
>>
Страница
7
из
184
<<
<
2
3
4
5
6
7
8
9
10
11
12
>
>>