default
Правительство Саратовской области
Официальный портал
Саратовская область выбирает вектор лидерства
В. В. Радаев
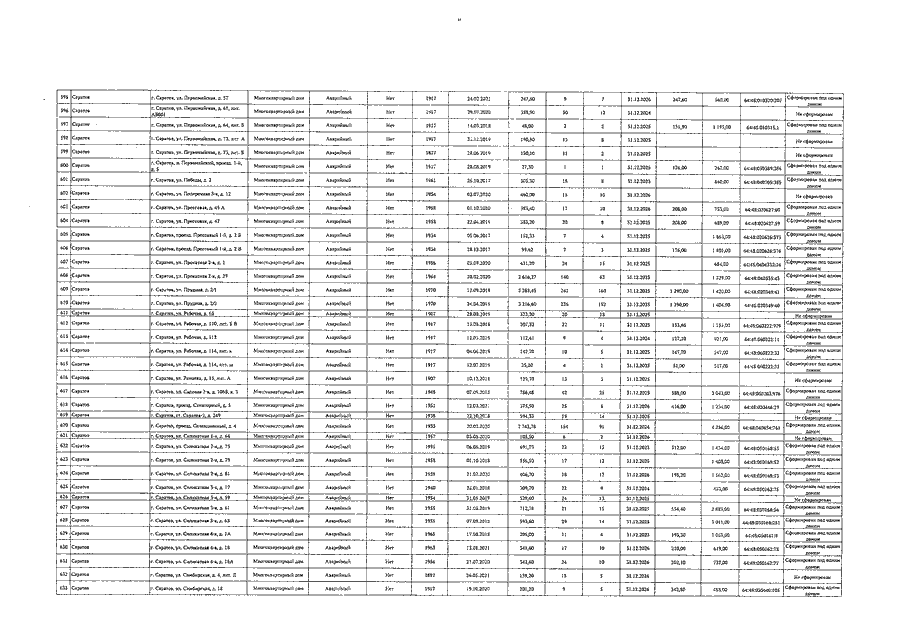
Постановление Правительства Саратовской области от 27.03.2025 N 263-П "О внесении изменений в постановление Правительства Саратовской области от 26 сентября 2022 года N 931-П"
Показывать страниц:
1
10
100
Для качественной печати:
PDF-файл документа (6 Мб)
<<
<
19
20
21
22
23
24
25
26
27
28
29
>
>>
Страница
24
из
38
<<
<
19
20
21
22
23
24
25
26
27
28
29
>
>>